Integrální počet funkcí více proměnných

Příklad 6.2.1:

Vypočítejte integrál

1p_1.gif, 0 kB

kde L je kruh se středem v počátku a poloměrem r.

Pro usnadnění výpočtu provedeme transformaci do polárních souřadnic a upravíme:

1p_2.gif, 0 kB

1p_3.gif, 1 kB

Integrační meze tedy jsou:

1p_4.gif, 0 kB


Množina L

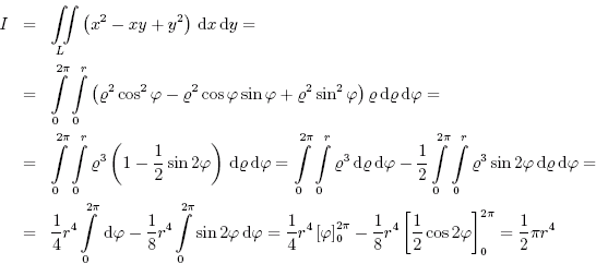
Výpočet:

1p_5.gif, 7 kB

V této části:

Příklad 6.2.1

Vypočítejte integrál

1p_1.gif, 0 kB

kde L je kruh se středem v počátku a poloměrem r.

Příklad 6.2.2

Vypočítejte integrál

2p_1.gif, 0 kB

kde R je množina ohraničená křivkami

2p_4.gif, 0 kB

Příklad 6.2.3

Vypočítejte integrál

3p_1.gif, 0 kB
3p_2.gif, 2 kB

Příklad 6.3.4

Vypočítejte obsah množiny M,

4p_1.gif, 2 kB

Příklad 6.2.5

Za pomoci dvojného integrálu vypočítejte obsah čtyřlístku na obrázku.