1. priklad

(%i31) kill(all);

Result

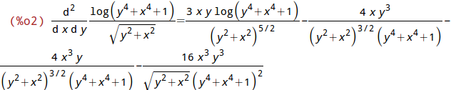
(%i1) 'diff(log(1+x^4+y^4)/sqrt(x^2+y^2),x,1,y,1)$ %=ev(%,nouns);

Result

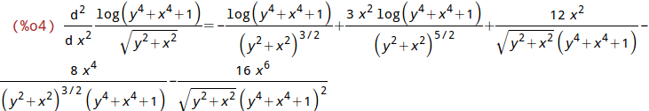
(%i3) 'diff(log(1+x^4+y^4)/sqrt(x^2+y^2),x,2)$ %=ev(%,nouns);

Result

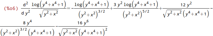
(%i5) 'diff(log(1+x^4+y^4)/sqrt(x^2+y^2),y,2)$ %=ev(%,nouns);

Result

2. priklad

(%i9) kill(all);

Result

(%i1) eq:sqrt(x)+sqrt(y)=1;

Result

(%i2) depends(y,x);

Result

(%i3) diff(eq, x);

Result

(%i4) prvnipodley:solve(%, 'diff(y,x));

Result

(%i8) prvnipodley:rhs(prvnipodley[1]);

Result

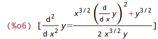
(%i5) diff(eq, x, 2);

Result

(%i6) solve(%, 'diff(y,x,2));

Result

(%i7) rat(subst(prvnipodley, 'diff(y,x,1), %));

Result

3. priklad

(%i9) kill(all);

Result

(%i1) 'integrate(sqrt(%e^x-1),x)$ %=ev(%,nouns);

Result

(%i3) diff(rhs(%),x);

Result

(%i4) expand(rat(%));

Result

4. priklad

(%i16) 'integrate(1/(sqrt(1-x^2)), x,0,1); %=ev(%, nouns);

Result

5. priklad

(%i18) 'sum(1/k^4, k,1,inf)$ %=ev(%, nouns, simpsum);

Result

6. priklad

(%i20) 'limit(log(x)/%e^x,x,inf)$ %=ev(%, nouns);

Result

7. priklad

(%i5) p1:taylor(sin(x),x,0,1);

Result

(%i6) p2:taylor(sin(x),x,0,3);

Result

(%i8) p3:taylor(sin(x),x,0,5);

Result

(%i9) load(draw);

Result

(%i10) wxdraw2d(explicit(sin,x,-%pi, %pi), explicit(p1,x,-%pi, %pi), explicit(p2,x,-%pi, %pi), explicit(p3, x,-%pi, %pi), proportional_axes=xy);

Result


Created with wxMaxima.